幻燈播放
熱門推薦
- 河北省教育廳2025年單招通知的10大..
- 河北省單招培訓選那里?
- 唐山單招培訓機構為學生未來提供更..
- 唐山哪家單招培訓機構靠譜?
- 唐山單招培訓機構值得選擇嗎?
- 保定市蓮池區第二職教中心有計算機..
- 濰坊市技師學院為您搭建成功舞臺
- 探索職業教育新視角!2023年唐山市..
- 2023年唐山職業教育活動周清單來了..
- 石家莊北方醫學中專畢業生可以通過..
- 2023年河北省高職單招填報志愿說明
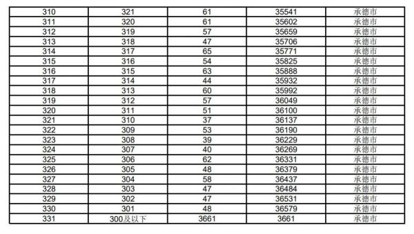
- 2023年河北省高職單招各考試類一分..
- 山東現代高考單招培訓中心有哪些優..
- 深入挖掘陜西機電職業技術學院的升..
- 2023年河北省高職單招準考證打印流程
- 張家口市新世紀職業學校航空定向班..
- 廊坊華航藝術學校教學怎么樣?
- 衡水鐵路電氣化學校有哪些招生要求?
- 2023年河北省高職單招考試一類和對..
- 2023年河北省高職單招考試二類考點


































































